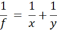
W tym zadaniu musisz obliczyć, w jakiej odległości od soczewki powstanie obraz przedmiotu oraz podać, jaki będzie to obraz. Następnie przedstawić schemat powstawania tego obrazu graficznie.
Powstały obraz będzie rzeczywisty.
Powiększenie powstałego obrazu będzie wynosić: .
Zadanie 15.1.
Zadanie 15.2.
Zadanie 15.3.
Zadanie 15.4.
Zadanie 15.5.
Zadanie 15.6.
Zadanie 15.7.
Zadanie 15.8.
Zadanie 15.9.
Zadanie 15.10.
Zadanie 15.11.
Zadanie 15.12.
Zadanie 15.13.
Zadanie 15.14.
Zadanie 15.15.
Zadanie 15.16.
Zadanie 15.17.
Zadanie 15.18.
Zadanie 15.19.
Zadanie 15.20.
Zadanie 15.21.
Zadanie 15.22.
Zadanie 15.23.
Zadanie 15.24.
Zadanie 15.25.
Zadanie 15.26.
Zadanie 15.27.
Zadanie 15.28.
Zadanie 15.29.
Zadanie 15.30.
Zadanie 15.31.
Zadanie 15.32.
Zadanie 15.33.
Zadanie 15.34.
Zadanie 15.35.
Zadanie 15.36.
Zadanie 15.37.
Zadanie 15.38.
Zadanie 15.39.
Zadanie 15.40.
Zadanie 15.41.
Zadanie 15.42.
Zadanie 15.43.
Zadanie 15.44.
Zadanie 15.45.
Zadanie 15.46.
Zadanie 15.47.
Zadanie 15.48.
Zadanie 15.49.
Zadanie 15.50.
Zadanie 15.51.
Zadanie 15.52.
Zadanie 15.53.
Zadanie 15.54.
Zadanie 15.55.
Zadanie 15.56.
Zadanie 15.57.
Zadanie 15.58.
Zadanie 15.59.
Zadanie 15.60.
Zadanie 15.61.
Zadanie 15.62.
Zadanie 15.63.
Zadanie 15.64.
Zadanie 15.65.
Zadanie 15.66.
Zadanie 15.67.
Zadanie 15.68.
Zadanie 15.69.
Zadanie 15.70.
Zadanie 15.71.
Zadanie 15.72.
Zadanie 15.73.
Zadanie 15.74.
Zadanie 15.75.
Zadanie 15.76.
Zadanie 15.77.
Zadanie 15.78.
Zadanie 15.79
Zadanie 15.80.
Zadanie 15.81.
Zadanie 15.82.
Zadanie 15.83.
Zadanie 15.84.
Zadanie 15.85.
Zadanie 15.86.
Zadanie 15.87.
Zadanie 15.88.
Zadanie 15.89.
Zadanie 15.90.
Zadanie 15.91.
Zadanie 15.92.
Zadanie 15.93.
Zadanie 15.94.