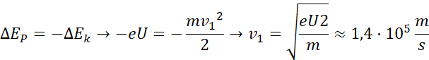
Korzystając z wykresu, można odczytać, że w trakcie przyspieszania między elektrodami jest napięcie 100 V, zatem korzystając z zasady zachowania energii, można spróbować obliczyć prędkość, do jakiej został przyspieszony elektron przed przeleceniem przez pierwszą elektrodę:
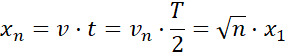
Schemat powtarzamy, kiedy elektron przelatuje między pierwszą a drugą elektrodą. Wówczas:
Można zatem wyjść z wnioskiem, że dla n-tej przerwy między elektrodami elektron będzie miał prędkość
Zatem wiedząc, że x1» 23 m, można znaleźć pozostałe długości elektrod:
Zatem całkowita długość to około 96 metrów.
Skorzystano z zasady zachowania energii, a także założono, że elektron wlatując do elektrody, ma tę samą prędkość, co wylatując, dzięki czemu można było skorzystać ze wzoru na drogę w ruchu jednostajnym.