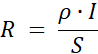
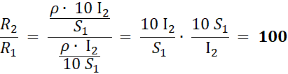
W tym zadaniu musisz obliczyć, wartości oporów pierwszego opornika R1 do drugiego R2.
I1 = 10 I2
S2 = 10 S1
ρ1 = ρ2 = ρ
Stosunek wartości oporów pierwszego opornika R1 do drugiego R2 wynosi 100.
Zadanie 12.1.
Zadanie 12.2.
Zadanie 12.3.
Zadanie 12.4.
Zadanie 12.5.
Zadanie 12.6.
Zadanie 12.7.
Zadanie 12.8.
Zadanie 12.9.
Zadanie 12.10.
Zadanie 12.11.
Zadanie 12.12.
Zadanie 12.13.
Zadanie 12.14.
Zadanie 12.15.
Zadanie 12.16.
Zadanie 12.17.
Zadanie 12.18.
Zadanie 12.19.
Zadanie 12.20.
Zadanie 12.21.
Zadanie 12.22.
Zadanie 12.23.
Zadanie 12.24.
Zadanie 12.25.
Zadanie 12.26.
Zadanie 12.27.
Zadanie 12.28.
Zadanie 12.29.
Zadanie 12.30.
Zadanie 12.31.
Zadanie 12.32.
Zadanie 12.33.
Zadanie 12.34.
Zadanie 12.35.
Zadanie 12.36.
Zadanie 12.37.
Zadanie 12.38.
Zadanie 12.39.
Zadanie 12.40.
Zadanie 12.41.
Zadanie 12.42.
Zadanie 12.43.
Zadanie 12.44.
Zadanie 12.45.
Zadanie 12.46.
Zadanie 12.47.
Zadanie 12.48.
Zadanie 12.49.
Zadanie 12.50.
Zadanie 12.51.
Zadanie 12.52.
Zadanie 12.53.
Zadanie 12.54.
Zadanie 12.55.
Zadanie 12.56.
Zadanie 12.57.
Zadanie 12.58.
Zadanie 12.59.
Zadanie 12.60.
Zadanie 12.61.
Zadanie 12.62.
Zadanie 12.63.
Zadanie 12.64.
Zadanie 12.65.
Zadanie 12.66.
Zadanie 12.67.
Zadanie 12.68.
Zadanie 12.69.
Zadanie 12.70.
Zadanie 12.71.
Zadanie 12.72.
Zadanie 12.73.
Zadanie 12.74.
Zadanie 12.75.
Zadanie 12.76.
Zadanie 12.77.
Zadanie 12.78.
Zadanie 12.79.