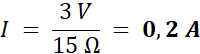
W tym zadaniu musisz obliczyć natężenie i moc prądu w żarówce latarki.
->
Zgodnie z Prawem Ohma opór jest równy ilorazowi napięcia i natężenia ( ). Natomiast moc prądu wyrażamy jako iloczyn napięcia i natężenia.
Zadanie 12.1.
Zadanie 12.2.
Zadanie 12.3.
Zadanie 12.4.
Zadanie 12.5.
Zadanie 12.6.
Zadanie 12.7.
Zadanie 12.8.
Zadanie 12.9.
Zadanie 12.10.
Zadanie 12.11.
Zadanie 12.12.
Zadanie 12.13.
Zadanie 12.14.
Zadanie 12.15.
Zadanie 12.16.
Zadanie 12.17.
Zadanie 12.18.
Zadanie 12.19.
Zadanie 12.20.
Zadanie 12.21.
Zadanie 12.22.
Zadanie 12.23.
Zadanie 12.24.
Zadanie 12.25.
Zadanie 12.26.
Zadanie 12.27.
Zadanie 12.28.
Zadanie 12.29.
Zadanie 12.30.
Zadanie 12.31.
Zadanie 12.32.
Zadanie 12.33.
Zadanie 12.34.
Zadanie 12.35.
Zadanie 12.36.
Zadanie 12.37.
Zadanie 12.38.
Zadanie 12.39.
Zadanie 12.40.
Zadanie 12.41.
Zadanie 12.42.
Zadanie 12.43.
Zadanie 12.44.
Zadanie 12.45.
Zadanie 12.46.
Zadanie 12.47.
Zadanie 12.48.
Zadanie 12.49.
Zadanie 12.50.
Zadanie 12.51.
Zadanie 12.52.
Zadanie 12.53.
Zadanie 12.54.
Zadanie 12.55.
Zadanie 12.56.
Zadanie 12.57.
Zadanie 12.58.
Zadanie 12.59.
Zadanie 12.60.
Zadanie 12.61.
Zadanie 12.62.
Zadanie 12.63.
Zadanie 12.64.
Zadanie 12.65.
Zadanie 12.66.
Zadanie 12.67.
Zadanie 12.68.
Zadanie 12.69.
Zadanie 12.70.
Zadanie 12.71.
Zadanie 12.72.
Zadanie 12.73.
Zadanie 12.74.
Zadanie 12.75.
Zadanie 12.76.
Zadanie 12.77.
Zadanie 12.78.
Zadanie 12.79.