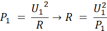
W tym zadaniu musisz obliczyć, rzeczywistą moc prądu w grzałce podczas szczytu energetycznego.
Opór elektryczny ma stałą wartość, dlatego można użyć go do obliczenia mocy po zmianie napięcia w sieci.
Zadanie 12.1.
Zadanie 12.2.
Zadanie 12.3.
Zadanie 12.4.
Zadanie 12.5.
Zadanie 12.6.
Zadanie 12.7.
Zadanie 12.8.
Zadanie 12.9.
Zadanie 12.10.
Zadanie 12.11.
Zadanie 12.12.
Zadanie 12.13.
Zadanie 12.14.
Zadanie 12.15.
Zadanie 12.16.
Zadanie 12.17.
Zadanie 12.18.
Zadanie 12.19.
Zadanie 12.20.
Zadanie 12.21.
Zadanie 12.22.
Zadanie 12.23.
Zadanie 12.24.
Zadanie 12.25.
Zadanie 12.26.
Zadanie 12.27.
Zadanie 12.28.
Zadanie 12.29.
Zadanie 12.30.
Zadanie 12.31.
Zadanie 12.32.
Zadanie 12.33.
Zadanie 12.34.
Zadanie 12.35.
Zadanie 12.36.
Zadanie 12.37.
Zadanie 12.38.
Zadanie 12.39.
Zadanie 12.40.
Zadanie 12.41.
Zadanie 12.42.
Zadanie 12.43.
Zadanie 12.44.
Zadanie 12.45.
Zadanie 12.46.
Zadanie 12.47.
Zadanie 12.48.
Zadanie 12.49.
Zadanie 12.50.
Zadanie 12.51.
Zadanie 12.52.
Zadanie 12.53.
Zadanie 12.54.
Zadanie 12.55.
Zadanie 12.56.
Zadanie 12.57.
Zadanie 12.58.
Zadanie 12.59.
Zadanie 12.60.
Zadanie 12.61.
Zadanie 12.62.
Zadanie 12.63.
Zadanie 12.64.
Zadanie 12.65.
Zadanie 12.66.
Zadanie 12.67.
Zadanie 12.68.
Zadanie 12.69.
Zadanie 12.70.
Zadanie 12.71.
Zadanie 12.72.
Zadanie 12.73.
Zadanie 12.74.
Zadanie 12.75.
Zadanie 12.76.
Zadanie 12.77.
Zadanie 12.78.
Zadanie 12.79.