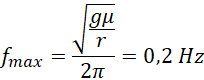
Jaka jest wartość częstotliwości obrotu sceny, przy jakiej aktor cały czas może utrzymać się bez podpierania?
Maksymalna częstotliwość obrotu sceny ma wartość, dla której siła odśrodkowa działająca na aktora jest równa sile tarcia jego stóp o podłoże.
Zadanie 1
Zadanie 2
Zadanie 3
Zadanie 4
Podpunkt a)
Podpunkt b)
Podpunkt c)
Podpunkt d)
Podpunkt e)
Podpunkt f)
Podpunkt g)
Zadanie 5
Zadanie 6
Podpunkt 1)
Podpunkt 2)
Podpunkt 3)
Podpunkt 4)
Podpunkt 5)