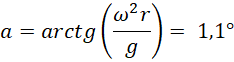
Pod jakim kątem jest odchylone od pionu ciało aktora?
Ciało aktora musi być odchylone od pionu pod kątem , aby siła nacisku stóp na podłoże równoważyła siły grawitacji i odśrodkową.
Zadanie 1
Zadanie 2
Zadanie 3
Zadanie 4
Podpunkt a)
Podpunkt b)
Podpunkt c)
Podpunkt d)
Podpunkt e)
Podpunkt f)
Podpunkt g)
Zadanie 5
Zadanie 6
Podpunkt 1)
Podpunkt 2)
Podpunkt 3)
Podpunkt 4)
Podpunkt 5)