Uczniowie sfilmowali doświadczenie fizyczne. W tabelce masz podane dane, które przedstawiają drogę pokonaną przez kulkę na taśmie mierniczej w określonym czasie. Taśma miernicza miała podziałkę co 0,1 cm, niepewność pomiaru położenia przyjęto 0,5 cm, natomiast kamera rejestrowała 30 klatek na sekundę. Przedstaw, jak obliczyć przyspieszenie grawitacyjne w tym doświadczeniu.
Rozwiązanie
Wyjaśnienie
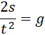
Przyspieszenie grawitacyjne wyznaczasz ze wzoru na drogę w ruchu przyspieszonym, w którym przyspieszenie to będzie przyspieszenie ziemskie. Kula spadała na taśmę mierniczą, zatem na początku jej prędkość wynosiła 0