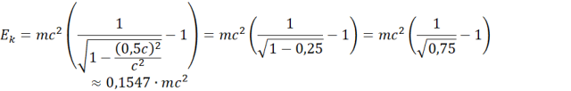
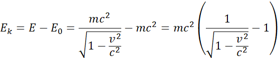
Energia kinetyczna relatywistycznie:
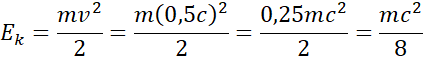
Energia kinetyczna klasycznie:
Odp.
| B | |
| 145 | |
| 117 |
Wykorzystaj wzory na energię kinetyczną w przypadku relatywistycznym i klasycznym. Przekształć wzory i wstaw do nich wartość liczbową energii spoczynkowej podaną w treści zadania. Wykonaj obliczenia i porównaj wyniki z tabelą.