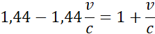
Zauważono przesunięcie linii widmowych kwazara. Określ prędkość oddalania się tego obiektu od Ziemi, wiedząc, że .
Rozwiązanie
Wyjaśnienie
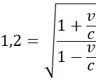
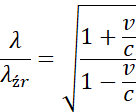
Zastosuj wzór przedstawiający efekt Dopplera w mechanice relatywistycznej dla oddalającego się ciała. Przekształć go, wstaw odpowiednie liczbowe i wykonaj obliczenia.