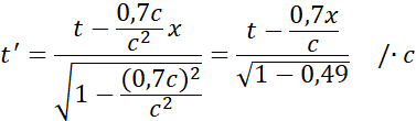
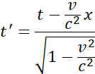
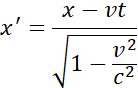
Transformacje Lorentza możesz użyć do graficznego określania współrzędnych zdarzenia. Wiedząc to, skorzystaj z niezależnych relacji matematycznych transformacji Lorentza i oblicz rzeczone współrzędne.
Rozwiązanie
Wyjaśnienie
Wykorzystaj relacje matematyczne transformacji Lorentza i wstaw odpowiednie dane dla układu i punktu A. Wykonaj obliczenia i zapisz wynik.