Gęstość klocka wynosi
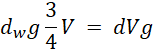
Skoro klocek unosi się na wodzie, to jego siła wyporu i ciężkości są sobie równe.
Nieznana jest masa klocka, wyznacz ją z wzoru na gęstość
Objętość wypartej wody to ¾ objętości klocka Vw = ¾ V
Przyspieszenie ziemskie oraz objętość klocka się skrócą w powyższym równaniu
Gęstość klocka wynosi ¾ gęstości wody.