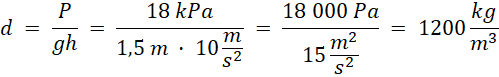
Oblicz ciecz o jakiej gęstości będzie wywierała ciśnienie 18 kPa przy wysokości słupa 1,5 m.
Z równania opisującego ciśnienie wywierane przez słup cieczy (P = dgh) wyznacz poszukiwaną gęstość.
Ćwiczenie Ćwiczenie B.
196Zadanie 3
199Zadanie 4
199Zadanie 2
209Zadanie 3
209Zadanie 4
209Zadanie 2
213Zadanie 3
214Zadanie 5
214Zadanie 1
222Zadanie 3
222Zadanie 6
222Zadanie 7
222Zadanie 1
229Ćwiczenie Test 1. – To musisz umieć.
232Ćwiczenie Test 2. – Dobrze, jeśli to umiesz.
233Ćwiczenie Test 3. – To warto umieć
234Ćwiczenie Test 4. – Świetnie, jeśli to umiesz
235