Oblicz masę piłki, gdyby była wykonana z różnych materiałów.
a) m = 5,6 kg
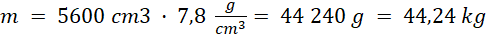
b) m = 44,24 kg
c) m = 106,4 kg
Przekształć wzór na gęstość, aby wyznaczyć masę.
Odczytaj z tablic gęstości poszczególnych materiałów i podstaw je do wzoru
a)
b)
c)
Ćwiczenie Ćwiczenie B.
196Zadanie 3
199Zadanie 4
199Zadanie 2
209Zadanie 3
209Zadanie 4
209Zadanie 2
213Zadanie 3
214Zadanie 5
214Zadanie 1
222Zadanie 3
222Zadanie 6
222Zadanie 7
222Zadanie 1
229Ćwiczenie Test 1. – To musisz umieć.
232Ćwiczenie Test 2. – Dobrze, jeśli to umiesz.
233Ćwiczenie Test 3. – To warto umieć
234Ćwiczenie Test 4. – Świetnie, jeśli to umiesz
235