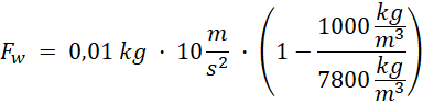
Oblicz wskazanie siłomierza.
Siłomierz wskaże siłę 87 mN.
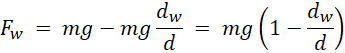
Wskazanie siłomierza, który przymocowany jest do zanurzonego ciała będzie wskazaniem siły wypadkowej działającej na to ciało. Będzie to różnica między siłą wyporu, a siłą ciężkości działającą na to ciało.
Nieznana jest objętość śruby V wyznaczyć ją możesz z definicji gęstości
Ćwiczenie Ćwiczenie B.
196Zadanie 3
199Zadanie 4
199Zadanie 2
209Zadanie 3
209Zadanie 4
209Zadanie 2
213Zadanie 3
214Zadanie 5
214Zadanie 1
222Zadanie 3
222Zadanie 6
222Zadanie 7
222Zadanie 1
229Ćwiczenie Test 1. – To musisz umieć.
232Ćwiczenie Test 2. – Dobrze, jeśli to umiesz.
233Ćwiczenie Test 3. – To warto umieć
234Ćwiczenie Test 4. – Świetnie, jeśli to umiesz
235