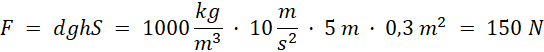
Oblicz z jaką siłą naciskała woda na klepki beczki w doświadczeniu Pascala.
Na klepki beczki działała siła
Siła jaką działa na powierzchnię beczki policzysz z przekształcenia wzoru na ciśnienie (
Ciśnienie jakie było wywierane na klepki beczki, to było ciśnienie hydrostatyczne z rurki nad beczką.
Ćwiczenie Ćwiczenie B.
196Zadanie 3
199Zadanie 4
199Zadanie 2
209Zadanie 3
209Zadanie 4
209Zadanie 2
213Zadanie 3
214Zadanie 5
214Zadanie 1
222Zadanie 3
222Zadanie 6
222Zadanie 7
222Zadanie 1
229Ćwiczenie Test 1. – To musisz umieć.
232Ćwiczenie Test 2. – Dobrze, jeśli to umiesz.
233Ćwiczenie Test 3. – To warto umieć
234Ćwiczenie Test 4. – Świetnie, jeśli to umiesz
235