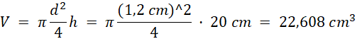
Oblicz objętość pręta o przekroju okrągłym.
Objętość pręta wynosi 22,608cm3
Skorzystaj z wzoru na objętość walca, jeżeli go nie znasz możesz go sprawdzić w tabeli na końcu książki.
Najwygodniejsze będzie obliczenie objętości w cm3, dlatego przelicz średnicę:
12 mm = 1,2 cm
Do obliczeń przyjmij π = 3,14.
Ćwiczenie Ćwiczenie B.
196Zadanie 3
199Zadanie 4
199Zadanie 2
209Zadanie 3
209Zadanie 4
209Zadanie 2
213Zadanie 3
214Zadanie 5
214Zadanie 1
222Zadanie 3
222Zadanie 6
222Zadanie 7
222Zadanie 1
229Ćwiczenie Test 1. – To musisz umieć.
232Ćwiczenie Test 2. – Dobrze, jeśli to umiesz.
233Ćwiczenie Test 3. – To warto umieć
234Ćwiczenie Test 4. – Świetnie, jeśli to umiesz
235