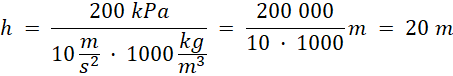
Oblicz wysokość słupa wody wywierającego ciśnienie 200 kPa.
Słup cieczy ma wysokość
Ciśnienie hydrostatyczne możesz obliczyć z wzoru P = dgh. Aby obliczyć wysokość słupa cieczy przekształć wzór na ciśnienie hydrostatyczne. Gęstość wody odczytasz z tabeli na końcu książki.
Ćwiczenie Ćwiczenie B.
196Zadanie 3
199Zadanie 4
199Zadanie 2
209Zadanie 3
209Zadanie 4
209Zadanie 2
213Zadanie 3
214Zadanie 5
214Zadanie 1
222Zadanie 3
222Zadanie 6
222Zadanie 7
222Zadanie 1
229Ćwiczenie Test 1. – To musisz umieć.
232Ćwiczenie Test 2. – Dobrze, jeśli to umiesz.
233Ćwiczenie Test 3. – To warto umieć
234Ćwiczenie Test 4. – Świetnie, jeśli to umiesz
235