Ciężarek wykonano z miedzi.
Z wskazań siłomierza możesz odczytać, że wartość siły ciężkości wynosi 1,8 N oraz że wartość siły wyporu wynosi 0,2 N (1,8 N - 1,6 N).
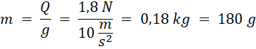
Wartość siły ciężaru pozwala ci na policzenie masy ciężarka:
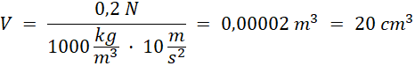
Wartość siły wyporu jest równa ciężarowi cieczy, możesz więc obliczyć objętość ciężarka
Gęstość materiału z jakiego wykonano ciężarek będzie stosunkiem masy do objętości
Sprawdź w tablicach jaki metal ma zbliżoną gęstość.