W tym zadaniu musisz obliczyć, jaka jest masa ciała, na które działa siła ciężkości 6,6 N.
A. 66 kg
B. 6,6 kg
C. 666 kg
D. 0,66 kg
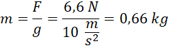
Rozwiązanie
D. 0,66 kg
Wyjaśnienie
Wzór na siłę musisz przekształcić tak, by z jednej strony znalazły się wielkości znane (siła podana w treści i stała, jaką jest przyspieszenie ziemskie), a po drugiej nieznane—masa. Następnie oblicz otrzymany iloraz.