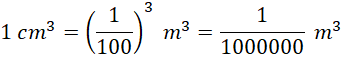
W tym zadaniu musisz zamienić na metry sześcienne wypisane w różnych jednostkach objętości.
Zamiana jednostek polega na pomnożeniu wielkości przez wartość odpowiadającą przedrostkowi.
Zadanie 1
Podpunkt a)
Podpunkt b)
Podpunkt c)
Podpunkt d)
Zadanie 2
Zadanie 3
Zadanie 4
Zadanie 5
Podpunkt e)
Podpunkt f)
Podpunkt g)
Podpunkt h)
Podpunkt i)
Zadanie 6
Zadanie 7
Zadanie 8
Zadanie 9
Zadanie 10
Zadanie 11
Zadanie 12
Zadanie 13
Zadanie 14