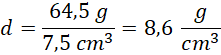
W tym zadaniu, korzystając z tabeli w podręczniku, musisz określić, z jakiego metalu wykonano prostopadłościan o masie 64,5 g i zadanych na rysunku wymiarach.
Rozwiązanie
Odp.: Prostopadłościan wykonano z B. mosiądzu.
Wyjaśnienie
Oblicz najpierw objętość prostopadłościanu. Jego gęstość to masa podzielona przez objętość. Następnie znajdź otrzymaną wartość w tabeli w podręczniku na stronie 47.