Czas:
Przyspieszenie:
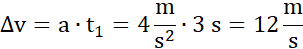
Zmiana prędkości:
W chwili t = 0 s prędkość wynosiła 0, dlatego prędkość kulki na końcu równi będzie wynosić:
Na odcinku BC prędkość jest taka sama
Odległość:
Czas, przebycia odległości 3,6 m:
Łączny czas ruchu:
By obliczyć zmianę prędkości, wykorzystaj wzór:
gdzie
t – czas [s],
a – przyspieszenie
W ruchu jednostajnym prędkość ciała jest stała.