Droga:
Czas:
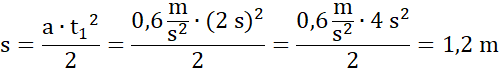
Droga w ruchu jednostajnie przyspieszonym:
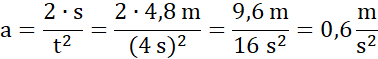
Przyspieszenie:
Droga przebyta w czasie 2 sekund:
Czas:
Droga w ruchu jednostajnie przyspieszonym:
Ciało w 2 sekundy przebyło drogę 1,2 metra.
Wzór na drogę w ruchu jednostajnie przyspieszonym ma postać:
gdzie s – droga [m],
t – czas [s],
a – przyspieszenie [