Wykres:
Droga lotu jednostajnie przyspieszonego:
Droga przebyta ruchem jednostajnym:
1000 – 250 = 750 m
Czas ruchu jednostajnego:
Całkowity czas:
10 + 150 = 160 s
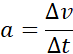
Przyspieszenie:
Gdzie:
Δv – zmiana prędkości, Δt – czas
przyspieszenie = zmiana prędkości w czasie
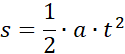
Droga w ruchu jednostajnie przyspieszonym:
Gdzie:
a – przyspieszenie, t - czas
Prędkość graniczna, jest taką prędkością, że gdy ciało rozpędzi się do niej, później już będzie spadało ruchem jednostajnym. Dzieje się tak, ponieważ siły oporu aerodynamicznego równoważą siłę ciężkości.
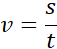
Prędkość w ruchu jednostajnym:
Gdzie:
s – droga, t - czas