Zaznacz odpowiednie opcje tak, aby powstały zdania prawdziwe.
Rozwiązanie
Energia kinetyczna ciała jest proporcjonalna do kwadratu prędkości tego ciała. Wynika z tego, że jeżeli samochód zwiększył prędkość z 40 do 80 , to jego energia kinetyczna wzrosła cztery razy, a jeżeli zwiększył prędkość z 10 do 30, to jego energia kinetyczna wzrosła dziewięć razy.
Wyjaśnienie
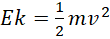
Wzór na energie kinetyczna to: . Zwiększenie prędkości dwukrotnie powoduje wzrost energii czterokrotnie, gdyż wartość prędkości jest we wzorze podnoszona do potęgi drugiej.