Masa wszystkich przedmiotów łącznie:
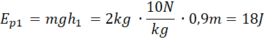
Początkowa energia potencjalna grawitacji wszystkich przedmiotów:
Energia potencjalna grawitacji wszystkich przedmiotów po przeniesieniu na wyższy poziom:
Odp.: Po przeniesieniu na półkę energia potencjalna grawitacji wszystkich przedmiotów łącznie wzrośnie o 12 J.
Na początku sumujemy masę wszystkich przedmiotów, a następnie, korzystając ze wzoru na energię potencjalną grawitacji, liczymy wartości tej energii dla wysokości 90 cm i 150 cm. Na końcu odejmujemy od siebie te wartości i uzyskujemy wynik; wartość zmiany tej energii po przeniesieniu przedmiotów na wyższy poziom. Przy obliczeniach należy pamiętać o zamienieniu wszystkich wartości masy na kilogramy, a długości – na metry.