Dane:
R = 0,5 m
m = 2 kg
mk = 1 g = 0,001 kg
v = 300
r = 0,4 m
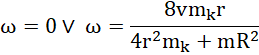
z zasady zachowania energii:
z zasady zachowania momentu pędu:
czyli:
po wstawieniu do pierwszej równości:
co po wykonaniu obliczeń daje:
po wstawieniu
Odpowiedź: Prędkość kątowa tarczy wynosi
Pamiętaj, podczas zderzenia sprężystego zachowane są energia oraz moment pędu. Zapisz więc równości wynikające z zasady zachowania energii (energia kinetyczna ruchu postępowego kuli jest równa sumie energii kinetycznej ruchu obrotowego tarczy i energii kinetycznej ruchu postępowego kuli z inną prędkościom) oraz z zasady zachowania momentu pędu. W tak otrzymanym układzie równań musisz wyliczyć dwie niewiadome – prędkość po odbiciu się od tarczy oraz prędkość kątową. Zacznij od prędkości kuli po odbiciu się (wykorzystaj równość wynikającą z zasady zachowania momentu pędu). Otrzymane wyrażenie wstaw do pierwszej równości i wykonaj konieczne przekształcenia (staraj się ułatwiać sobie liczenie, np. zamiast podnosić prędkość v’ do kwadratu, rozpisz ją ze wzoru skróconego mnożenia v2 – v’2).