Dane:
l = 1,7 m
α = 60°
Z zasady zachowania energii:
czyli:
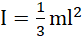
moment bezwładności pręta:
więc:
Odpowiedź: Koniec pręta minie położenie równowagi z prędkością
Na początku pręt posiada jedynie energię potencjalną (wykorzystując podany w treści kąt, wylicz, na jakiej wysokość znajduje się środek ciężkości przed wypuszczeniem pręta), której część w czasie ruchu przekształca się w energię kinetyczną ruchu obrotowego względem dolnego końca bala. Z zasady zachowania energii, energia potencjalna na początku i suma energii kinetycznej ruchu obrotowego i energii potencjalnej są sobie równe. Odszukaj w tabeli na końcu zbioru zadań wzór na moment bezwładności pręt, którego oś obrotu biegnie przez jego koniec. Pamiętaj, że prędkość kątową możesz przedstawić jako iloraz prędkości liniowej i promienia (w naszym przypadku – długości pręta). Po przyrównaniu do siebie wyrażeń wyznacz i wylicz prędkość liniową.