Dane:
v = 4
m = 50 g = 0,05 kg
z tablic:
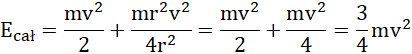
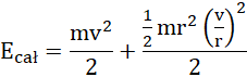
moment bezwładności walca:
ponadto:
co razem daje:
Odpowiedź: Całkowita energia kinetyczna monety to 0,6 J.
Zwróć uwagę, moneta, tocząc się, wykonuje ruch postępowy i ruch obrotowy. Całkowita energia kinetyczna krążka to więc suma energii kinetycznej ruchu postępowego i energii kinetycznej ruchu obrotowego. Moment bezwładności monety (czyli walca) odczytaj z tablic, a prędkość kątową zapisz jako iloraz prędkości liniowej i promienia monety.