W tym zadaniu musisz obliczyć przyspieszenie samolotu, który odrywa się od podłoża, gdy osiąga prędkość wynoszącą 60 m/s, a rozbieg ma 500 m.
Czas rozpędzania:
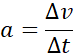
Przyspieszenie:
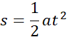
Droga:
Gdzie:
Δv – zmiana prędkości, Δt - czas
przyspieszenie = zmiana prędkości w czasie
Ćwiczenie 1.1.
Ćwiczenie 1.2.
Podpunkt a)
Podpunkt b)
Podpunkt c)
Ćwiczenie 1.3.
Ćwiczenie 1.4.
Ćwiczenie 1.5.
Ćwiczenie 1.6.
Ćwiczenie 1.7.
Ćwiczenie 1.8.
Ćwiczenie 1.9.
Ćwiczenie 1.10.
Ćwiczenie 1.11.
Ćwiczenie 1.12.
Ćwiczenie 1.13.
Ćwiczenie 1.14.
Ćwiczenie 1.15.
Ćwiczenie 1.16.
Ćwiczenie 1.17.
Ćwiczenie 1.18.
Ćwiczenie 1.19.
Ćwiczenie 1.20.
Ćwiczenie 1.21.
Ćwiczenie 1.22.
Ćwiczenie 1.23.
Ćwiczenie 1.24.
Ćwiczenie 1.25.
Ćwiczenie 1.26.
Ćwiczenie 1.27.
Ćwiczenie 1.28.
Ćwiczenie 1.29.
Ćwiczenie 1.30.
Ćwiczenie 1.31.
Ćwiczenie 1.32.
Ćwiczenie 1.33.
Ćwiczenie 1.34.
Ćwiczenie 1.35.
Ćwiczenie 1.36.
Ćwiczenie 1.37.
Ćwiczenie 1.38.
Ćwiczenie 1.39.
Ćwiczenie 1.40.
Ćwiczenie 1.41.
Ćwiczenie 1.42.
Ćwiczenie 1.43.
Ćwiczenie 1.44.
Ćwiczenie 1.45.
Ćwiczenie 1.46.
Ćwiczenie 1.47.
Ćwiczenie 1.48.