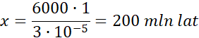
W tym zadaniu musisz obliczyć, jak dawno temu doszło do rozdzielenia się podanych kontynentów, skoro obecnie Ameryka oddala się z prędkością 3 cm/rok.
Z proporcji:
3 ⋅ 10-5 km : 1 rok
6000 km : x lat
Odległość między kontynentami to ok. 6000 km.
Ćwiczenie 1.1.
Ćwiczenie 1.2.
Podpunkt a)
Podpunkt b)
Podpunkt c)
Ćwiczenie 1.3.
Ćwiczenie 1.4.
Ćwiczenie 1.5.
Ćwiczenie 1.6.
Ćwiczenie 1.7.
Ćwiczenie 1.8.
Ćwiczenie 1.9.
Ćwiczenie 1.10.
Ćwiczenie 1.11.
Ćwiczenie 1.12.
Ćwiczenie 1.13.
Ćwiczenie 1.14.
Ćwiczenie 1.15.
Ćwiczenie 1.16.
Ćwiczenie 1.17.
Ćwiczenie 1.18.
Ćwiczenie 1.19.
Ćwiczenie 1.20.
Ćwiczenie 1.21.
Ćwiczenie 1.22.
Ćwiczenie 1.23.
Ćwiczenie 1.24.
Ćwiczenie 1.25.
Ćwiczenie 1.26.
Ćwiczenie 1.27.
Ćwiczenie 1.28.
Ćwiczenie 1.29.
Ćwiczenie 1.30.
Ćwiczenie 1.31.
Ćwiczenie 1.32.
Ćwiczenie 1.33.
Ćwiczenie 1.34.
Ćwiczenie 1.35.
Ćwiczenie 1.36.
Ćwiczenie 1.37.
Ćwiczenie 1.38.
Ćwiczenie 1.39.
Ćwiczenie 1.40.
Ćwiczenie 1.41.
Ćwiczenie 1.42.
Ćwiczenie 1.43.
Ćwiczenie 1.44.
Ćwiczenie 1.45.
Ćwiczenie 1.46.
Ćwiczenie 1.47.
Ćwiczenie 1.48.