W tym zadaniu musisz obliczyć przyspieszenie rowerzysty, który pokonał 20 m oraz osiągnął prędkość 15 km/h.
Czas rozpędzania:
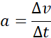
Przyspieszenie:
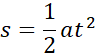
Droga:
Gdzie:
Δv – zmiana prędkości, Δt - czas
przyspieszenie = zmiana prędkości w czasie
15 km/h = 4,17 m/s
Ćwiczenie 1.1.
Ćwiczenie 1.2.
Podpunkt a)
Podpunkt b)
Podpunkt c)
Ćwiczenie 1.3.
Ćwiczenie 1.4.
Ćwiczenie 1.5.
Ćwiczenie 1.6.
Ćwiczenie 1.7.
Ćwiczenie 1.8.
Ćwiczenie 1.9.
Ćwiczenie 1.10.
Ćwiczenie 1.11.
Ćwiczenie 1.12.
Ćwiczenie 1.13.
Ćwiczenie 1.14.
Ćwiczenie 1.15.
Ćwiczenie 1.16.
Ćwiczenie 1.17.
Ćwiczenie 1.18.
Ćwiczenie 1.19.
Ćwiczenie 1.20.
Ćwiczenie 1.21.
Ćwiczenie 1.22.
Ćwiczenie 1.23.
Ćwiczenie 1.24.
Ćwiczenie 1.25.
Ćwiczenie 1.26.
Ćwiczenie 1.27.
Ćwiczenie 1.28.
Ćwiczenie 1.29.
Ćwiczenie 1.30.
Ćwiczenie 1.31.
Ćwiczenie 1.32.
Ćwiczenie 1.33.
Ćwiczenie 1.34.
Ćwiczenie 1.35.
Ćwiczenie 1.36.
Ćwiczenie 1.37.
Ćwiczenie 1.38.
Ćwiczenie 1.39.
Ćwiczenie 1.40.
Ćwiczenie 1.41.
Ćwiczenie 1.42.
Ćwiczenie 1.43.
Ćwiczenie 1.44.
Ćwiczenie 1.45.
Ćwiczenie 1.46.
Ćwiczenie 1.47.
Ćwiczenie 1.48.