Droga w tym czasie:
Pozostałe 30 – 2 = 28 metrów przejeżdża ruchem jednostajnym.
Całkowity czas: t = 16 s
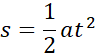
Ruch jednostajnie przyspieszony:
Droga:
Gdzie:
a – przyspieszenie, t – czas
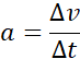
Przyspieszenie:
Gdzie:
Δv – zmiana prędkości, Δt – czas
przyspieszenie = zmiana prędkości w czasie
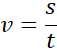
Ruch jednostajny:
Prędkość:
Gdzie:
s – droga, t - czas