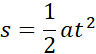
W tym zadaniu musisz obliczyć drogę hamowania Basi, jeśli wartość przyspieszenia wyniosła wtedy 1,5 m/s2. Zauważ, że jechała ona 40 km/h.
Czas:
Droga:
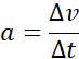
Przyspieszenie:
Gdzie:
Δv – zmiana prędkości, Δt - czas
przyspieszenie = zmiana prędkości w czasie
40 km/h = 11,11 m/s
Ćwiczenie 1.1.
Ćwiczenie 1.2.
Podpunkt a)
Podpunkt b)
Podpunkt c)
Ćwiczenie 1.3.
Ćwiczenie 1.4.
Ćwiczenie 1.5.
Ćwiczenie 1.6.
Ćwiczenie 1.7.
Ćwiczenie 1.8.
Ćwiczenie 1.9.
Ćwiczenie 1.10.
Ćwiczenie 1.11.
Ćwiczenie 1.12.
Ćwiczenie 1.13.
Ćwiczenie 1.14.
Ćwiczenie 1.15.
Ćwiczenie 1.16.
Ćwiczenie 1.17.
Ćwiczenie 1.18.
Ćwiczenie 1.19.
Ćwiczenie 1.20.
Ćwiczenie 1.21.
Ćwiczenie 1.22.
Ćwiczenie 1.23.
Ćwiczenie 1.24.
Ćwiczenie 1.25.
Ćwiczenie 1.26.
Ćwiczenie 1.27.
Ćwiczenie 1.28.
Ćwiczenie 1.29.
Ćwiczenie 1.30.
Ćwiczenie 1.31.
Ćwiczenie 1.32.
Ćwiczenie 1.33.
Ćwiczenie 1.34.
Ćwiczenie 1.35.
Ćwiczenie 1.36.
Ćwiczenie 1.37.
Ćwiczenie 1.38.
Ćwiczenie 1.39.
Ćwiczenie 1.40.
Ćwiczenie 1.41.
Ćwiczenie 1.42.
Ćwiczenie 1.43.
Ćwiczenie 1.44.
Ćwiczenie 1.45.
Ćwiczenie 1.46.
Ćwiczenie 1.47.
Ćwiczenie 1.48.