Droga samochodu zwalniającego:
Droga samochodu jadącego dalej ruchem jednostajnym i później zwalniającego.
Minimalna odległość:
Pojazd B jechał dodatkowe 10 s ze stałą prędkością.
Pojazd A już się zatrzymywał.
50 km/h = 13,9 m/s
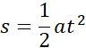
Ruch jednostajnie przyspieszony:
Droga:
Gdzie:
a – przyspieszenie, t – czas
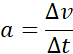
Przyspieszenie:
Gdzie:
Δv – zmiana prędkości, Δt – czas
przyspieszenie = zmiana prędkości w czasie
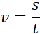
Ruch jednostajny:
Prędkość:
Gdzie:
s – droga, t - czas