Zadania z tego działu
I. Elektrostatyka i prąd elektryczny
6
Fizyka poza szkołą. Przyciąga czy odpycha?
8
2. Ładunki elektryczne
9
3. Indukcja elektrostatyczna
11
Fizyka poza szkołą. Wyścig pasków
12
4. Obwód prądu elektrycznego
13
Fizyka poza szkołą. Dwa wyłączniki
15
5. Prąd elektryczny w cieczach
16
Fizyka poza szkołą. Elektroliza wody
17
7. Napięcie elektryczne i natężenie prądu elektrycznego
20
8. Praca i moc prądu elektrycznego
23
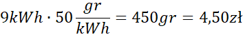
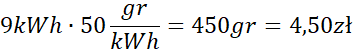
Policzmy razem
25
9. Pomiar napięcia i natężenia. Wyznaczanie mocy
26
Fizyka poza szkołą. A. Żarówka sieciowa i bateria
28
Fizyka poza szkołą. B. Twoje napięcie
28
Fizyka poza szkołą. Jakie napięcie?
32