Zadanie

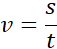
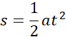
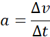
W tym zadaniu musisz obliczyć czas biegu w drugiej jego części. Cała trasa wynosi 100 m, a uzyskany czas to 10 sekund. Zauważ, że tylko przez 4 sekundy występuje ruch jednostajnie przyspieszony, później następuje ruch jednostajny.

Rozwiązanie

Wyjaśnienie

Zadania z tego działu
I. Kinematyka
4