W tym zadaniu oblicz siłę działającą na kulkę pierwszą i na kulkę drugą, jeśli jedna z metalowych kulek ma ładunek +2 nC, a druga -3 nC. Odległość między kulkami wynosi 2 m. Określ, czy siły są siłami odpychającymi, czy przyciągającymi.
Rozwiązanie
Siły są siłami przyciągającymi, ponieważ ładunki kulek mają różne znaki. Siły są równe co do wartości na podstawie trzeciej zasady dynamiki.
Wyjaśnienie
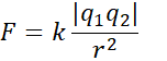
Wartość siły obliczamy, korzystając z prawa Coulomba.