Skul.pl
  • Opracowania zadań z podręczników
  • Odkryć fizykę. Klasa 2. Podręcznik. Zakres podstawowy - rozwiązania i odpowiedzi
  • Zadanie 1.

Odkryć fizykę. Klasa 2. Podręcznik. Zakres podstawowy - rozwiązania i odpowiedzi

Podręcznik, Wydawnictwo: Nowa Era
Poprzednie

Zadanie 1. - strona 48

Następne

Zadanie

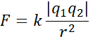
W tym zadaniu oblicz wartość siły elektrycznej działającej między dwoma ciałami o ładunku +2 nC każde znajdującymi się w odległości 2 m od siebie. Określ, czy ciała się odpychają czy przyciągają.

Rozwiązanie

Ciała się odpychają, ponieważ ich ładunki są jednoimienne.

Skul

Wyjaśnienie

Wartość siły obliczamy za pomocą prawa Coulomba.

Poprzednie
Następne

Fizyka - wybrane pytania

Zadanie 20, strona 60, Fizyka. Klasy 1-3. Zakres podstawowy. Zbiór zadań - rozwiązania i odpowiedzi
Zadanie 31.4, strona 109, Fizyka. Klasa 2. Zakres rozszerzony. Zbiór zadań - rozwiązania i odpowiedzi
Zadanie 16.1., strona 60, Zbiór zadań z fizyki dla szkoły podstawowej. Klasa 7-8 - rozwiązania i odpowiedzi
Zadanie 11., strona 212, Fizyka. Klasa 7-8. Zbiór zadań - rozwiązania i odpowiedzi
Zadanie 13, strona 88, Fizyka. Klasy 1-3. Zakres podstawowy. Zbiór zadań - rozwiązania i odpowiedzi
Zadanie 4., strona 192, Fizyka. Klasa 2. Podręcznik. Zakres podstawowy - rozwiązania i odpowiedzi
Zadanie 16.5.8., strona 53, Zrozumieć fizykę 4. Zakres rozszerzony. Zbiór zadań - rozwiązania i odpowiedzi
Zadanie 10.6.13., strona 227, Zrozumieć fizykę. Klasa 2. Zakres rozszerzony. Zbiór zadań - rozwiązania i odpowiedzi
Zadanie 1., strona 215, Świat fizyki. Klasa 7. Podręcznik - rozwiązania i odpowiedzi
Zadanie 51.11, strona 163, Fizyka. Klasa 2. Zakres rozszerzony. Zbiór zadań - rozwiązania i odpowiedzi
REKLAMA
Skul
Zadania z tego działu
4. Elektrostatyka
5
1. Ładunki elektryczne
6

Zadanie 1.

11

Zadanie 2.

11

Zadanie 3.

11

Zadanie 4.

11
2. Zasada zachowania ładunku
12

Zadanie 1.

16

Zadanie 2.

16

Zadanie 3.

17

Zadanie 4.

17

Zadanie 5.

17
3. Prawo Coulomba
18

Zadanie 1.

24

Podpunkt a)

24

Podpunkt b)

24

Zadanie 2.

24

Zadanie 3.

24

Zadanie 4.

24

Zadanie 5.

24

Zadanie 6.

24
4. Pole elektryczne
25

Zadanie 1.

30

Zadanie 2.

30

Zadanie 3.

30

Zadanie 4.

30

Podpunkt a)

30

Podpunkt b)

30
5. Klatka Faradaya
31

Zadanie 1.

36

Zadanie 2.

36

Zadanie 3.

36

Podpunkt a)

36

Podpunkt b)

36

Zadanie 4.

36

Zadanie 5.

36
6. Kondensator
37

Zadanie 1.

43

Zadanie 2.

43

Podpunkt a)

43

Podpunkt b)

43

Podpunkt c)

43

Podpunkt d)

43

Podpunkt e)

43

Zadanie 3.

43

Zadanie 4.

43

Zadanie 5.

43

Zadanie 6.

43
Zadania powtórzeniowe. To trzeba umieć
47

Zadanie 1.

47

Zadanie 2.

47

Zadanie 3.

47

Zadanie 4.

47

Zadanie 5.

47
Zadania powtórzeniowe. To powinieneś umieć
48

Zadanie 1.

48

Zadanie 2.

48

Zadanie 3.

48

Zadanie 4.

48

Zadanie 5.

48

Zadanie 6.

48
Zadania powtórzeniowe. To warto umieć
48

Zadanie 1.

48

Zadanie 2.

48

Zadanie 3.

49

Zadanie 4.

49

Zadanie 5.

49

Zadanie 6.

49
Zadania powtórzeniowe. Dasz sobie z tym radę? – Świetnie!
49

Zadanie 1.

49

Zadanie 2.

49

Zadanie 3.

49

Zadanie 4.

49
Analiza tekstu. Ciekawa nauka wokół nas
51

Zadanie 1.

52

Zadanie 2.

52

Zadanie 3.

52

Zadanie 4.

52

Zadanie 5.

52
Pełny spis treści
Skul
Artboard 1
Skul.pl
  • Napisz do nas
  • FAQ
  • Mapa Serwisu
  • Google Play
  • App Store

Korzystanie z portalu oznacza akceptację Regulaminu.
Polityka prywatności. Ustawienia preferencji. Copyright: INTERIA.PL 1999-2023 Wszystkie prawa zastrzeżone.