Skul.pl
  • Opracowania zadań z podręczników
  • Odkryć fizykę. Klasa 2. Podręcznik. Zakres podstawowy - rozwiązania i odpowiedzi
  • Zadanie 3.

Odkryć fizykę. Klasa 2. Podręcznik. Zakres podstawowy - rozwiązania i odpowiedzi

Podręcznik, Wydawnictwo: Nowa Era
Poprzednie

Zadanie 3. - strona 49

Następne

Zadanie

W tym zadaniu oblicz odległość, w jakiej ładunki +20 nC i -20 nC przyciągają się siłą 0,05 N.

Rozwiązanie

Skul

Wyjaśnienie

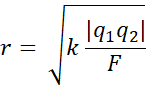
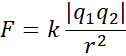
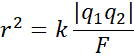
Przekształć wzór na siłę elektrostatyczną i otrzymujemy z niego zależność na odległość między ładunkami.

Poprzednie
Następne

Fizyka - wybrane pytania

Zadanie 19, strona 48, Fizyka. Klasy 1-3. Zakres podstawowy. Zbiór zadań - rozwiązania i odpowiedzi
Zadanie 1., strona 68, Fizyka. Klasa 2. Podręcznik. Zakres rozszerzony – rozwiązania i odpowiedzi
Ćwiczenie 4.5., strona 50, Fizyka. Klasa 1-3. Zakres podstawowy. Zbiór zadań - rozwiązania i odpowiedzi
Zadanie 1, strona 199, Fizyka. Klasa 3. Zakres podstawowy. Podręcznik - rozwiązania i odpowiedzi
Zadanie 18., strona 37, Fizyka. Klasa 7-8. Zbiór zadań - rozwiązania i odpowiedzi
Zadanie 5.14., strona 56, Fizyka. Klasa 7-8. Zbiór zadań - rozwiązania i odpowiedzi
Zadanie 10.6.5., strona 226, Zrozumieć fizykę. Klasa 2. Zakres rozszerzony. Zbiór zadań - rozwiązania i odpowiedzi
Zadanie 2.4., strona 10, Fizyka. Klasa 7-8. Zbiór zadań - rozwiązania i odpowiedzi
Zadanie 7.7.10., strona 54, Zrozumieć fizykę. Klasa 2. Zakres rozszerzony. Zbiór zadań - rozwiązania i odpowiedzi
Ćwiczenie doświadczenie 3., strona 55, Fizyka. To jest fizyka. Klasa 8. Podręcznik - rozwiązania i odpowiedzi
REKLAMA
Skul
Zadania z tego działu
4. Elektrostatyka
5
1. Ładunki elektryczne
6

Zadanie 1.

11

Zadanie 2.

11

Zadanie 3.

11

Zadanie 4.

11
2. Zasada zachowania ładunku
12

Zadanie 1.

16

Zadanie 2.

16

Zadanie 3.

17

Zadanie 4.

17

Zadanie 5.

17
3. Prawo Coulomba
18

Zadanie 1.

24

Podpunkt a)

24

Podpunkt b)

24

Zadanie 2.

24

Zadanie 3.

24

Zadanie 4.

24

Zadanie 5.

24

Zadanie 6.

24
4. Pole elektryczne
25

Zadanie 1.

30

Zadanie 2.

30

Zadanie 3.

30

Zadanie 4.

30

Podpunkt a)

30

Podpunkt b)

30
5. Klatka Faradaya
31

Zadanie 1.

36

Zadanie 2.

36

Zadanie 3.

36

Podpunkt a)

36

Podpunkt b)

36

Zadanie 4.

36

Zadanie 5.

36
6. Kondensator
37

Zadanie 1.

43

Zadanie 2.

43

Podpunkt a)

43

Podpunkt b)

43

Podpunkt c)

43

Podpunkt d)

43

Podpunkt e)

43

Zadanie 3.

43

Zadanie 4.

43

Zadanie 5.

43

Zadanie 6.

43
Zadania powtórzeniowe. To trzeba umieć
47

Zadanie 1.

47

Zadanie 2.

47

Zadanie 3.

47

Zadanie 4.

47

Zadanie 5.

47
Zadania powtórzeniowe. To powinieneś umieć
48

Zadanie 1.

48

Zadanie 2.

48

Zadanie 3.

48

Zadanie 4.

48

Zadanie 5.

48

Zadanie 6.

48
Zadania powtórzeniowe. To warto umieć
48

Zadanie 1.

48

Zadanie 2.

48

Zadanie 3.

49

Zadanie 4.

49

Zadanie 5.

49

Zadanie 6.

49
Zadania powtórzeniowe. Dasz sobie z tym radę? – Świetnie!
49

Zadanie 1.

49

Zadanie 2.

49

Zadanie 3.

49

Zadanie 4.

49
Analiza tekstu. Ciekawa nauka wokół nas
51

Zadanie 1.

52

Zadanie 2.

52

Zadanie 3.

52

Zadanie 4.

52

Zadanie 5.

52
Pełny spis treści
Skul
Artboard 1
Skul.pl
  • Napisz do nas
  • FAQ
  • Mapa Serwisu
  • Google Play
  • App Store

Korzystanie z portalu oznacza akceptację Regulaminu.
Polityka prywatności. Ustawienia preferencji. Copyright: INTERIA.PL 1999-2023 Wszystkie prawa zastrzeżone.