Zadanie

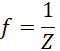
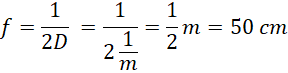
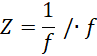
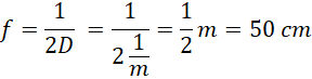
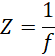
W tym zadaniu musisz obliczyć wartość ogniskowej soczewki o zdolności skupiającej równej 2 D, a otrzymany wynik podać w centymetrach.

Rozwiązanie

Wyjaśnienie

Zadania z tego działu
6. Optyka
203
6.1 Światło i jego właściwości
204
6.2 Prostoliniowe rozchodzenie się światła
207
6.5 Zwierciadła kuliste i ich zastosowanie
219
6.6 Obrazy wytworzone przez zwierciadła kuliste
222
6.8 Przejście światła przez pryzmat
230
6.9 Zjawiska optyczne w przyrodzie
233
6.10 Rodzaje i właściwości soczewek
235
6.11 Otrzymywanie obrazów za pomocą soczewek
238
6.12 Konstrukcyjne wyznaczanie obrazów otrzymanych w soczewkach
240