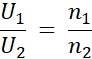
W tym zadaniu musisz obliczyć wartość napięcia i natężenia w uzwojeniu pierwotnym.
Uzwojenie pierwotne zasilane jest napięciem 50 V i płynie w nim prąd o natężeniu 0,04 A.
Zadanie 13.1
Zadanie 13.2
Zadanie 13.3.
Zadanie 13.4.
Zadanie 13.5.
Zadanie 13.6.
Zadanie 13.7.
Zadanie 13.8.
Zadanie 13.9.
Zadanie 13.10.
Zadanie 13.11.
Zadanie 13.12.
Zadanie 13.13.
Zadanie 13.14.
Zadanie 13.15.
Zadanie 13.16.
Zadanie 13.17.
Zadanie 13.18.
Zadanie 13.19.
Zadanie 13.20.
Zadanie 13.21.
Zadanie 13.22.
Zadanie 13.23.
Zadanie 13.24.
Zadanie 13.25.
Zadanie 13.26.
Zadanie 13.27.
Zadanie 13.28.
Zadanie 13.29.
Zadanie 13.30.
Zadanie 13.31.
Zadanie 13.32.
Zadanie 13.33.
Zadanie 13.34.
Zadanie 13.35.
Zadanie 13.36.
Zadanie 13.37.
Zadanie 13.38.
Zadanie 13.39.
Zadanie 13.40.
Zadanie 13.41.
Zadanie 13.42.
Zadanie 13.43.
Zadanie 13.44.
Zadanie 13.45.
Zadanie 13.46.
Zadanie 13.47.
Zadanie 13.48.
Zadanie 13.49.
Zadanie 13.50.
Zadanie 13.51.
Zadanie 13.52.
Zadanie 13.53.
Zadanie 13.54.
Zadanie 13.55.
Zadanie 13.56.
Zadanie 13.57.
Zadanie 13.58.
Zadanie 13.59.
Zadanie 13.60.
Zadanie 13.61.
Zadanie 13.63.
Zadanie 13.64.
Zadanie 13.65.
Zadanie 13.66.
Zadanie 13.67.
Zadanie 13.68.
Zadanie 13.69.
Zadanie 13.70.
Zadanie 13.71.
Zadanie 13.72.
Zadanie 13.73.