Na podstawie danych przedstawionych w treści zadania narysuje dalszy bieg promienia w pryzmacie. Następnie ustal, czy rozbłysk światła, który się wydostanie z pryzmatu, jest kolorowy czy biały.
Z prawa załamania światła (zakładając, że
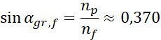
Sprawdzamy, czy promienie załamią się na drugiej ściance, czy zajdzie zjawisko całkowitego wewnętrznego odbicia. Obliczamy kąty graniczne:
Obliczamy kąty padania na drugą ściankę:
Promienie ulegają całkowitemu wewnętrznemu odbiciu.
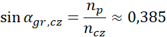
Obliczamy kąty padania na trzecią ściankę:
Oba promienie ulegają załamaniu. Obliczamy kąty załamania (z prawa załamania):
Promienie opuszczające kryształ są do siebie równoległe, więc obserwujemy światło białe.
Rozpatruj przebieg światła w pryzmacie. Wyznacz kąty padania i załamania dla każdej ścianki. Na podstawie obliczeń rysuj dalszy bieg promieni.
Zadanie 16.1.9.
16Zadanie 16.1.15.
17Zadanie 16.2.7.
25Zadanie 16.2.12.
26Zadanie 16.2.16.
27Zadanie 16.3.1.
36Zadanie 16.3.9.
37Zadanie 16.3.13.
38Zadanie 16.3.14.
38Zadanie 16.3.15.
39Zadanie 16.3.17.
40Zadanie 16.5.5.
53Zadanie 16.5.7.
53Zadanie 16.6.3.
59Zadanie 16.6.6.
60Zadanie 16.6.13.
62Zadanie 16.7.1.
66Zadanie 16.7.4.
66Zadanie 16.7.6.
67Zadanie 16.7.9.
68Zadanie 16.7.10.
68Zadanie 16.8.2.
77Zadanie 16.8.3.
78Zadanie 16.8.4.
78Zadanie 16.8.5.
79Zadanie 16.8.9.
80Zadanie 16.8.10.
80Zadanie 16.8.11.
80Zadanie 16.8.12.
80Zadanie 16.8.15.
81Zadanie 16.8.20.
81Zadanie 16.8.21.
81Zadanie 16.8.23.
82Zadanie 16.9.10.
92Zadanie 16.10.14.
103Zadanie 16.12.1.
115Zadanie 16.12.8.
117Zadanie 4.
122Zadanie 5.
122Zadanie 6.
123Zadanie 7.
123