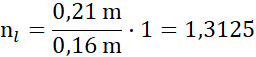
Oblicz wartość współczynnika załamania lodu, jeśli patrząc od góry, widzimy zanurzony w nim kamień na głębokości h’ = 16 cm, a w rzeczywistości znajduje się on na głębokości h = 21 cm pod powierzchnią lodu.
DANE:
SZUKANE:
WZÓR:
Wyznaczamy współczynnik załamania lodu:
Prawo załamania:
Przyjęte oznaczenia:
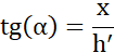
Korzystając z zależności trygonometrycznych, wyznacz funkcję tangens dla kąta padania i załamania w zależności od jego funkcji sinus.
Skorzystaj z prawa załamania, które mówi, że stosunek sinusa kata padania do sinusa kąta załamania jest dla dwóch danych ośrodków stały i równy stosunkowi szybkości światła w tych ośrodkach. Na tej podstawie wyznacz współczynnik załamania lodu. Zastosuj przybliżenie
Zadanie 16.1.9.
16Zadanie 16.1.15.
17Zadanie 16.2.7.
25Zadanie 16.2.12.
26Zadanie 16.2.16.
27Zadanie 16.3.1.
36Zadanie 16.3.9.
37Zadanie 16.3.13.
38Zadanie 16.3.14.
38Zadanie 16.3.15.
39Zadanie 16.3.17.
40Zadanie 16.5.5.
53Zadanie 16.5.7.
53Zadanie 16.6.3.
59Zadanie 16.6.6.
60Zadanie 16.6.13.
62Zadanie 16.7.1.
66Zadanie 16.7.4.
66Zadanie 16.7.6.
67Zadanie 16.7.9.
68Zadanie 16.7.10.
68Zadanie 16.8.2.
77Zadanie 16.8.3.
78Zadanie 16.8.4.
78Zadanie 16.8.5.
79Zadanie 16.8.9.
80Zadanie 16.8.10.
80Zadanie 16.8.11.
80Zadanie 16.8.12.
80Zadanie 16.8.15.
81Zadanie 16.8.20.
81Zadanie 16.8.21.
81Zadanie 16.8.23.
82Zadanie 16.9.10.
92Zadanie 16.10.14.
103Zadanie 16.12.1.
115Zadanie 16.12.8.
117Zadanie 4.
122Zadanie 5.
122Zadanie 6.
123Zadanie 7.
123