Skul.pl
  • Opracowania zadań z podręczników
  • Fizyka. Klasa 1-3. Zakres podstawowy. Zbiór zadań - rozwiązania i odpowiedzi
  • Ćwiczenie 8.24.

Fizyka. Klasa 1-3. Zakres podstawowy. Zbiór zadań - rozwiązania i odpowiedzi

Zbiór zadań, Wydawnictwo: WSiP
Poprzednie

Ćwiczenie 8.24. - strona 116

Następne

Zadanie

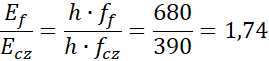
W tym zadaniu musisz powiedzieć ile razy energie fotonu światła fioletowego jest większa od czerwonego.

Rozwiązanie

Wybrane długości: światło czerwone: 680 nm, światło fioletowe: 390 nm.

Skul

Wyjaśnienie

Energia promieniowania:

Gdzie:

f – częstotliwość, h – stała Plancka, h = 6,63 · 10-34 Js = 4,14 · 10-15 eVs

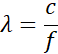
Długość fali elektromagnetycznej:

Gdzie:

c – prędkość światła, f – częstotliwość fali

Poprzednie
Następne

Fizyka - wybrane pytania

Zadanie 34.23., strona 125, Zbiór zadań z fizyki dla szkoły podstawowej. Klasa 7-8 - rozwiązania i odpowiedzi
Zadanie 4, strona 30, Spotkania z fizyką. Klasa 8. Zeszyt ćwiczeń - rozwiązania i odpowiedzi
Zadanie 13., strona 209, Fizyka. Klasa 7-8. Zbiór zadań - rozwiązania i odpowiedzi
Ćwiczenie 27., strona 13, Świat fizyki. Klasa 7. Zeszyt ćwiczeń - rozwiązania i odpowiedzi
Pytanie 1, strona 64, Zrozumieć fizykę. Klasa 4. Poziom rozszerzony. Podręcznik - rozwiązania i odpowiedzi
Zadanie 3., strona 135, Fizyka. Klasa 2. Podręcznik. Zakres rozszerzony – rozwiązania i odpowiedzi
Zadanie Podejmij temat 1, strona 64, Fizyka. Klasa 7. Podręcznik – rozwiązania i odpowiedzi
Zadanie 21, strona 60, Fizyka. Klasy 1-3. Zakres podstawowy. Zbiór zadań - rozwiązania i odpowiedzi
Ćwiczenie 12.33., strona 40, Świat fizyki. Klasa 8. Zbiór zadań - rozwiązania i odpowiedzi
Zadanie 8, strona 27, Sprawdziany Fizyka. Klasa 7-8. Zbiór zadań - rozwiązania i odpowiedzi
REKLAMA
Skul
Zadania z tego działu
VIII. Fizyka atomowa
112
Przegląd fal elektromagnetycznych
113

Ćwiczenie 8.1.

113

Ćwiczenie 8.2.

113

Ćwiczenie 8.3.

114

Ćwiczenie 8.4.

114

Ćwiczenie 8.5.

114

Ćwiczenie 8.6.

114

Ćwiczenie 8.7.

114

Ćwiczenie 8.8.

115

Ćwiczenie 8.9.

115

Ćwiczenie 8.10.

115
Widmo promieniowania
115

Ćwiczenie 8.11.

115

Ćwiczenie 8.12.

115

Ćwiczenie 8.13.

115

Ćwiczenie 8.14.

115

Ćwiczenie 8.15.

115

Ćwiczenie 8.16.

115

Ćwiczenie 8.17.

115

Ćwiczenie 8.18.

116

Ćwiczenie 8.19.

116
Foton
116

Ćwiczenie 8.20.

116

Ćwiczenie 8.21.

116

Ćwiczenie 8.22.

116

Ćwiczenie 8.23.

116

Ćwiczenie 8.24.

116

Ćwiczenie 8.25.

116

Ćwiczenie 8.26.

116

Ćwiczenie 8.27.

116
Budowa atomu
117

Ćwiczenie 8.28.

117

Ćwiczenie 8.29.

117

Ćwiczenie 8.30.

117

Ćwiczenie 8.31.

118

Ćwiczenie 8.32.

118

Ćwiczenie 8.33.

118

Ćwiczenie 8.34.

118
Poziomy energetyczne w ciałach stałych
119

Ćwiczenie 8.35.

118

Ćwiczenie 8.36.

119

Ćwiczenie 8.37.

119

Ćwiczenie 8.38.

120

Ćwiczenie 8.39.

120

Ćwiczenie 8.40.

120

Ćwiczenie 8.41.

120
Dioda świecąca
120

Ćwiczenie 8.42.

120

Ćwiczenie 8.43.

120

Ćwiczenie 8.44.

120

Ćwiczenie 8.45.

120

Ćwiczenie 8.46.

120
Zjawisko fotoelektryczne
121

Ćwiczenie 8.47.

121

Ćwiczenie 8.48.

121

Ćwiczenie 8.49.

121

Ćwiczenie 8.50.

122

Ćwiczenie 8.51.

122

Ćwiczenie 8.52.

122

Ćwiczenie 8.53.

122

Ćwiczenie 8.54.

122

Ćwiczenie 8.55.

122

Ćwiczenie 8.56.

122

Ćwiczenie 8.57.

122
Pełny spis treści
Skul
Artboard 1
Skul.pl
  • Napisz do nas
  • FAQ
  • Mapa Serwisu
  • Google Play
  • App Store

Korzystanie z portalu oznacza akceptację Regulaminu.
Polityka prywatności. Ustawienia preferencji. Copyright: INTERIA.PL 1999-2023 Wszystkie prawa zastrzeżone.