Skul.pl
  • Opracowania zadań z podręczników
  • Fizyka. Klasa 1-3. Zakres podstawowy. Zbiór zadań - rozwiązania i odpowiedzi
  • Ćwiczenie 8.10.

Fizyka. Klasa 1-3. Zakres podstawowy. Zbiór zadań - rozwiązania i odpowiedzi

Zbiór zadań, Wydawnictwo: WSiP
Poprzednie

Ćwiczenie 8.10. - strona 115

Następne

Zadanie

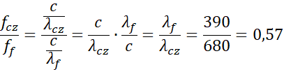
W tym zadaniu musisz ile razy częstotliwość jednej fali jest mniejsza od drugiej.

Rozwiązanie

Częstotliwość fali czerwonej jest mniejsza 1,7 razy.

Skul

Wyjaśnienie

Długość fali elektromagnetycznej:

Gdzie:

c – prędkość światła, f – częstotliwość fali

Poprzednie
Następne

Fizyka - wybrane pytania

Zadanie 9.4.5., strona 160, Zrozumieć fizykę. Klasa 2. Zakres rozszerzony. Zbiór zadań - rozwiązania i odpowiedzi
Zadanie 17, strona 32, Fizyka. Klasy 1-3. Zakres podstawowy. Zbiór zadań - rozwiązania i odpowiedzi
Zadanie 3, strona 54, Zrozumieć fizykę. Klasa 1.Podręcznik. Zakres rozszerzony - rozwiązania i odpowiedzi
Pytanie 7., strona 57, Fizyka z plusem. Klasa 8. Podręcznik - rozwiązania i odpowiedzi
Zadanie 2., strona 108, Odkryć fizykę. Klasa 2. Podręcznik. Zakres podstawowy - rozwiązania i odpowiedzi
Zadanie 16.9., strona 62, Zbiór zadań z fizyki dla szkoły podstawowej. Klasa 7-8 - rozwiązania i odpowiedzi
Ćwiczenie 9.43., strona 135, Fizyka. Klasa 1-3. Zakres podstawowy. Zbiór zadań - rozwiązania i odpowiedzi
Zadanie 2., strona 90, Fizyka. Klasa 7. Podręcznik - rozwiązania i odpowiedzi
Zadanie 2., strona 126, Fizyka. To jest fizyka. Klasa 8. Podręcznik - rozwiązania i odpowiedzi
Ćwiczenie 25.8, strona 117, Fizyka. Klasa 3. Zakres rozszerzony. Zbiór zadań - rozwiązania i odpowiedzi
REKLAMA
Skul
Zadania z tego działu
VIII. Fizyka atomowa
112
Przegląd fal elektromagnetycznych
113

Ćwiczenie 8.1.

113

Ćwiczenie 8.2.

113

Ćwiczenie 8.3.

114

Ćwiczenie 8.4.

114

Ćwiczenie 8.5.

114

Ćwiczenie 8.6.

114

Ćwiczenie 8.7.

114

Ćwiczenie 8.8.

115

Ćwiczenie 8.9.

115

Ćwiczenie 8.10.

115
Widmo promieniowania
115

Ćwiczenie 8.11.

115

Ćwiczenie 8.12.

115

Ćwiczenie 8.13.

115

Ćwiczenie 8.14.

115

Ćwiczenie 8.15.

115

Ćwiczenie 8.16.

115

Ćwiczenie 8.17.

115

Ćwiczenie 8.18.

116

Ćwiczenie 8.19.

116
Foton
116

Ćwiczenie 8.20.

116

Ćwiczenie 8.21.

116

Ćwiczenie 8.22.

116

Ćwiczenie 8.23.

116

Ćwiczenie 8.24.

116

Ćwiczenie 8.25.

116

Ćwiczenie 8.26.

116

Ćwiczenie 8.27.

116
Budowa atomu
117

Ćwiczenie 8.28.

117

Ćwiczenie 8.29.

117

Ćwiczenie 8.30.

117

Ćwiczenie 8.31.

118

Ćwiczenie 8.32.

118

Ćwiczenie 8.33.

118

Ćwiczenie 8.34.

118
Poziomy energetyczne w ciałach stałych
119

Ćwiczenie 8.35.

118

Ćwiczenie 8.36.

119

Ćwiczenie 8.37.

119

Ćwiczenie 8.38.

120

Ćwiczenie 8.39.

120

Ćwiczenie 8.40.

120

Ćwiczenie 8.41.

120
Dioda świecąca
120

Ćwiczenie 8.42.

120

Ćwiczenie 8.43.

120

Ćwiczenie 8.44.

120

Ćwiczenie 8.45.

120

Ćwiczenie 8.46.

120
Zjawisko fotoelektryczne
121

Ćwiczenie 8.47.

121

Ćwiczenie 8.48.

121

Ćwiczenie 8.49.

121

Ćwiczenie 8.50.

122

Ćwiczenie 8.51.

122

Ćwiczenie 8.52.

122

Ćwiczenie 8.53.

122

Ćwiczenie 8.54.

122

Ćwiczenie 8.55.

122

Ćwiczenie 8.56.

122

Ćwiczenie 8.57.

122
Pełny spis treści
Skul
Artboard 1
Skul.pl
  • Napisz do nas
  • FAQ
  • Mapa Serwisu
  • Google Play
  • App Store

Korzystanie z portalu oznacza akceptację Regulaminu.
Polityka prywatności. Ustawienia preferencji. Copyright: INTERIA.PL 1999-2023 Wszystkie prawa zastrzeżone.