Na podstawie danych przedstawionych w treści zadania sprawdź, jaki będzie dalszy bieg promienia światła po dotarciu do granicy plastik-woda. W przypadku, gdy promień przejdzie do wody oblicz, jaką wartość powinien mieć współczynnik załamania bryły, aby kąt odbicia był równy
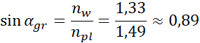
Kąt padania jest mniejszy od kąta granicznego, więc promień przechodzi do wody.
Aby promień ślizgał się po bocznej ściance bryły:
Oblicz wartość kąta granicznego i porównaj otrzymany wynik z kątem padania. W celu obliczenia współczynnika załamania bryły, dla którego promień ślizgałby się po ściance, przekształć wzór na sinus kąta granicznego. Wstaw odpowiednie dane i wykonaj obliczenia.
Zadanie 16.1.9.
16Zadanie 16.1.15.
17Zadanie 16.2.7.
25Zadanie 16.2.12.
26Zadanie 16.2.16.
27Zadanie 16.3.1.
36Zadanie 16.3.9.
37Zadanie 16.3.13.
38Zadanie 16.3.14.
38Zadanie 16.3.15.
39Zadanie 16.3.17.
40Zadanie 16.5.5.
53Zadanie 16.5.7.
53Zadanie 16.6.3.
59Zadanie 16.6.6.
60Zadanie 16.6.13.
62Zadanie 16.7.1.
66Zadanie 16.7.4.
66Zadanie 16.7.6.
67Zadanie 16.7.9.
68Zadanie 16.7.10.
68Zadanie 16.8.2.
77Zadanie 16.8.3.
78Zadanie 16.8.4.
78Zadanie 16.8.5.
79Zadanie 16.8.9.
80Zadanie 16.8.10.
80Zadanie 16.8.11.
80Zadanie 16.8.12.
80Zadanie 16.8.15.
81Zadanie 16.8.20.
81Zadanie 16.8.21.
81Zadanie 16.8.23.
82Zadanie 16.9.10.
92Zadanie 16.10.14.
103Zadanie 16.12.1.
115Zadanie 16.12.8.
117Zadanie 4.
122Zadanie 5.
122Zadanie 6.
123Zadanie 7.
123