Oblicz, o jaki kąt ugina się światło po przejściu przez siatkę dyfrakcyjną, tworząc prążek dyfrakcyjny rzędu
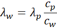
Po załamaniu częstotliwość fali się nie zmienia:
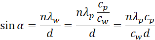
Z wzoru siatki dyfrakcyjnej:
Na początku oblicz długość światła w wodzie. Skorzystaj z faktu, że światło przechodząc między ośrodkami nie zmienia swojej częstotliwości. Następnie korzystając z wzoru siatki dyfrakcyjnej, wyznacz wzór na sinus kąta ugięcia promienia. Na koniec wstaw dane liczbowe w jednakowych jednostkach i wykonaj potrzebne obliczenia.
Zadanie 16.1.9.
16Zadanie 16.1.15.
17Zadanie 16.2.7.
25Zadanie 16.2.12.
26Zadanie 16.2.16.
27Zadanie 16.3.1.
36Zadanie 16.3.9.
37Zadanie 16.3.13.
38Zadanie 16.3.14.
38Zadanie 16.3.15.
39Zadanie 16.3.17.
40Zadanie 16.5.5.
53Zadanie 16.5.7.
53Zadanie 16.6.3.
59Zadanie 16.6.6.
60Zadanie 16.6.13.
62Zadanie 16.7.1.
66Zadanie 16.7.4.
66Zadanie 16.7.6.
67Zadanie 16.7.9.
68Zadanie 16.7.10.
68Zadanie 16.8.2.
77Zadanie 16.8.3.
78Zadanie 16.8.4.
78Zadanie 16.8.5.
79Zadanie 16.8.9.
80Zadanie 16.8.10.
80Zadanie 16.8.11.
80Zadanie 16.8.12.
80Zadanie 16.8.15.
81Zadanie 16.8.20.
81Zadanie 16.8.21.
81Zadanie 16.8.23.
82Zadanie 16.9.10.
92Zadanie 16.10.14.
103Zadanie 16.12.1.
115Zadanie 16.12.8.
117Zadanie 4.
122Zadanie 5.
122Zadanie 6.
123Zadanie 7.
123