Policz wysokość nad powierzchnią Ziemi, na jakiej znajduje się orbita o znanym okresie obrotu.
Masa Ziemi:
Promień Ziemi:
Okres:
Odległość r od środka Ziemi do satelity:
Wysokość:
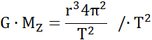
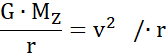
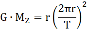
Skoro satelita krąży wokół Ziemi swobodnie, to siła grawitacji jest równa sile dośrodkowej.
Siła dośrodkowa:
Wiemy, że prędkość możemy wyrazić jako:
Średnia odległość Ziemi od satelity:
Wysokość:
Orbita znajduje się 20 166 km nad powierzchnią Ziemi.
Wykorzystaj wzór na siłę przyciągania grawitacyjnego między dwoma ciałami:
gdzie F – siła grawitacji [N],
G – stała grawitacji [
M1 – masa pierwszego ciała [kg],
M2 – masa drugiego ciała [kg],
r – odległość między środkami dwóch ciał [m].
Wzór na siłę dośrodkową ma postać:
gdzie Fo – siła dośrodkowa [N],
m – masa ciała [kg],
v – prędkość ciała [
R – promień, wokół którego obraca się ciało [m].
Wzór na prędkość w ruchu obrotowym:
gdzie T – okres obrotu [s].
Zadanie 11.1.8.
16Zadanie 11.1.9.
17Zadanie 11.1.10.
17Zadanie 11.2.2.
21Zadanie 11.2.7.
25Zadanie 11.3.14.
33Zadanie 11.3.17.
34Zadanie 11.3.19.
35Zadanie 11.3.20.
35Zadanie 11.3.22.
35Zadanie 11.3.24.
36Zadanie 11.3.25.
36Zadanie 11.3.26.
36Zadanie 11.4.10.
44Zadanie 11.4.11.
44Zadanie 11.4.12.
44Zadanie 11.4.20.
46Zadanie 11.4.22.
46Zadanie 11.5.8.
54Zadanie 11.5.16.
57Zadanie 11.6.1.
66Zadanie 11.6.6.
67Zadanie 11.6.7.
67Zadanie 11.6.11.
68Zadanie 11.6.12.
69Zadanie 11.6.16.
69Zadanie 11.6.22.
70Zadanie 11.6.23.
71Zadanie 11.6.24.
71Zadanie 11.6.25.
71Zadanie 11.6.26.
72Zadanie 11.7.1.
74Zadanie 11.7.3.
75Zadanie 11.7.4.
75